首页
校园新闻
电子邮件
一站式服务大厅
园区大学
学校简介
学校领导
机构设置
专业一览
学校荣誉
校园风光
校园规划
院部站点
院园融合
招生就业
招生
百日攻坚-粤就业在行动
招聘就业
创新创业
继续教育
院部站点
质量监控
魅力校园
学生风采
教师风采
信息公开
师生服务
教师发展中心
超星云平台
智慧职教云
图书馆(现代教育技术中心)
教务管理系统(新)
教务管理系统(旧)
学生管理系统
心理健康测评系统
数据填报平台
资产管理系统
科研管理系统
下载中心
招生
火大主页
招生
正文
导航菜单
>
要闻
快讯
通知公告
招生
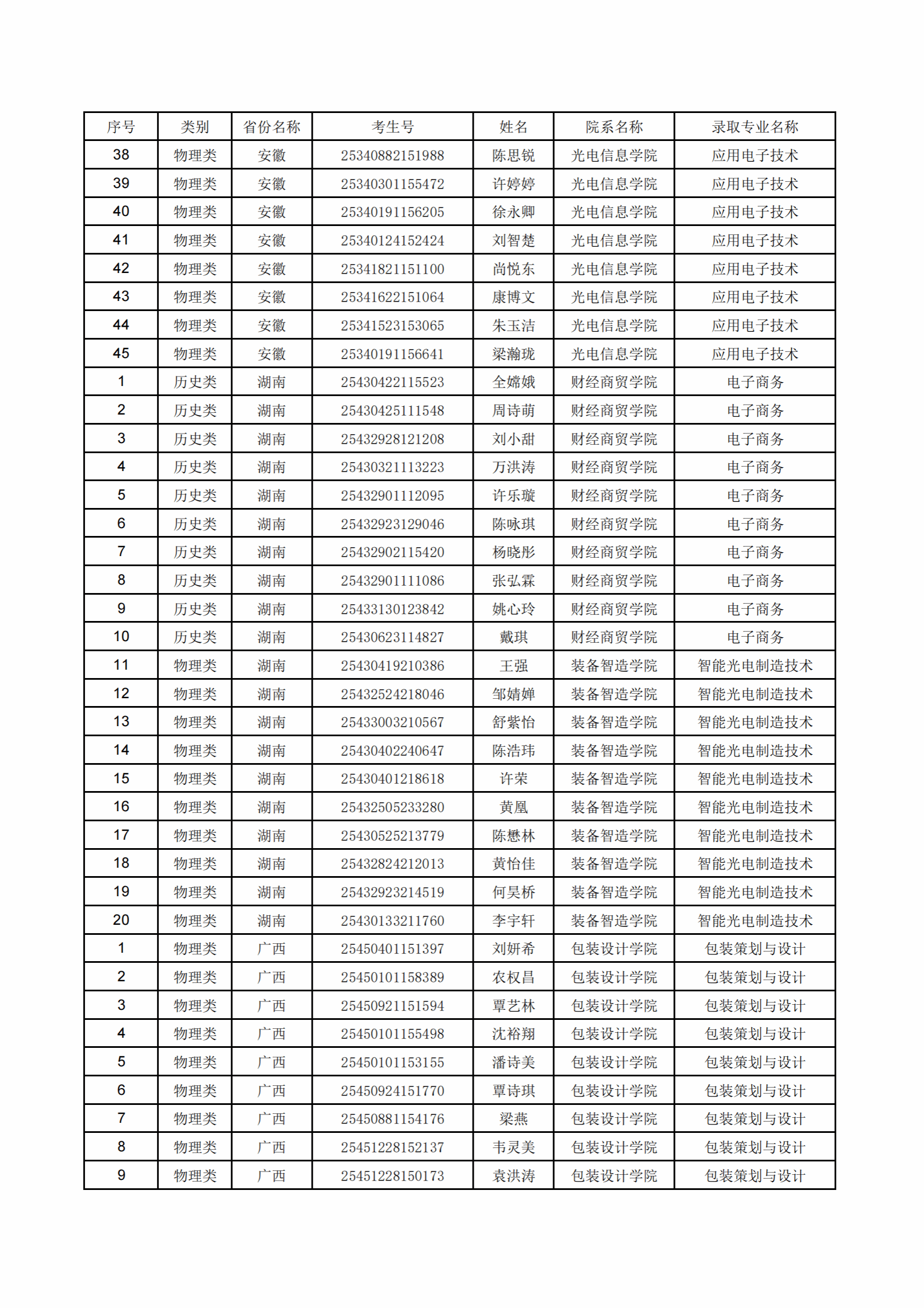
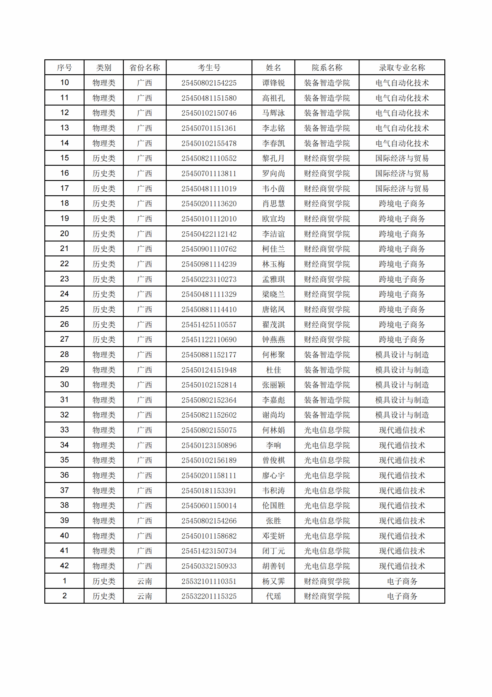
中山火炬职业技术学院2025年安徽省、广西壮族自治区、湖南省、云南省夏季高考录取名单
2025-08-09 19:34
常用链接
园区大学
学校简介
学校领导
机构设置
专业一览
学校荣誉
校园风光
校园规划
院部站点
招生就业
招生
百日攻坚-粤就业在行动
招聘就业
创新创业
魅力校园
学生风采
教师风采
专业建设
专业设置
学生事务
学风建设
奖勤助贷
心理健康
团学工作
宿舍管理
下载中心
人才招聘
政策文件
招聘公告
办理流程
表格下载
招标采购
学校采购竞价网
学校评审及专题网
创新创业
创业之星
创业课程
创业活动